Select Language
Select Language
Select Language
Select Language

Share:

High-Frequency Transformer : Overview

Filed under:

Superworld Electronics designs High-Frequency Transformers for high-efficiency SMPS, telecom, and renewable applications.

Using ANSYS electromagnetic simulation (>90% correlation), we accurately predict loss, EMI, and thermal behavior before production.With strong ferrite know-how and automated winding, we ensure tight tolerance, low loss, and stable high-power performance.

 

By leveraging ANSYS simulation, we collaborate closely with customers, enabling faster design understanding, quick iteration cycles, shorter waiting time, and fast support for each use case.

High-Frequency Transformer Fundamentals

Key components in Switching Mode Power Supplies (SMPS), typically operating from 20 kHz to 1 MHz.

Serve two main purposes:
1. Energy transfer between primary and secondary circuits.
2. Electrical isolation for safety and noise reduction.

Operating at high frequency allows smaller cores and fewer turns, achieving higher power density & conversion efficiency.

Electromagnetic Principle

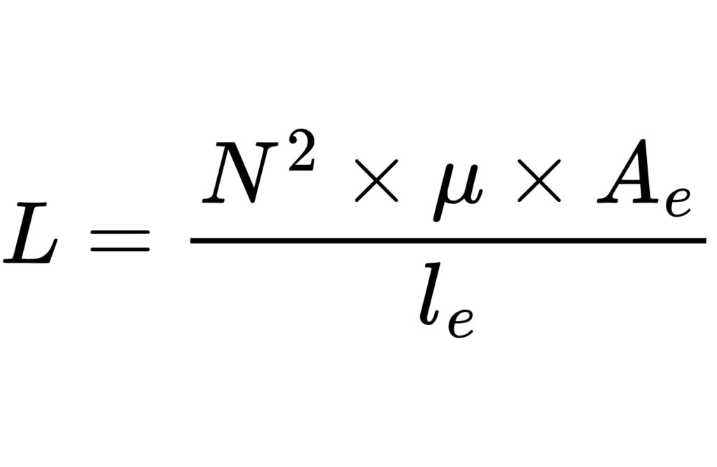
When AC flows through the primary winding, it creates magnetic flux in the ferrite core.
This flux induces voltage in the secondary winding, as defined by:

Material Composition & Performance Considerations

Core

Magnetic coupling

Soft ferrite (MnZn / NiZn) with high permeability and low loss.Offer professional core and material selection guidance to optimize power density, thermal performance, and winding space.

Common types:

RM

ETD

POT

PQ

EE

EFD

EP

Wire

Power transfer

UEW and (TIW) triple-insulated wire.
Dielectric strength : 6000VAC max VAC (IEC 62368-1).
Recommended : Class B, Class F, and Class H.
Tailored solutions for diverse needs — such as Litz wire for reduced HF losses.

Bobbin

Structural insulation

UEW and (TIW) triple-insulated wire.
Materials : 6000VAC max VAC (IEC 62368-1).
Temp rating : 90 – 200 °C.
Available : DIP / SMD.
Recommended : Insulation Class B

DIP

SMD

Electrical standards divided into seven temperature classes.
Insulation ClassTemperature RatingCompatible MaterialsTypical Applications
Class Y90 °CPET and other low-temperature plasticsSmall, low-voltage bobbins
Class A105 °CStandard PA, PETConsumer low-voltage equipment
Class E120 °CPBT, PA66Home appliances, switch-mode power supplies
Class B130 °CModified PBT, modified PA66Medium-power industrial equipment
Class F155 °CPA9T, PA46Automotive-grade applications, high in-vehicle temperatures
Class H180 °CLCP, PPO/PA alloysHigh-frequency, high-temperature equipment
Class C≥ 200 °CPhenolic resin (Bakelite)High-temperature specialty equipment

Encapsulation

Insulation / EMI reduction

UEW and (TIW) triple-insulated wire.
Tape + Copper foil : Insulation & EMI shielding
Varnish : Vibration, moisture & High-temp rated
Epoxy / Metal clip : core fixation & vibration control.

Simulation

Design Verification

Ansys simulation with > 90% accuracy in DCR, inductance, and leakage inductance prediction helping ensure first-pass success & optimized performance.

Vector of magnetic field

Magnitude

Precision Manufacturing Process

Automated production ensures electrical integrity & dimensional precision.

Applications

Power Conversion

LED drivers and industrial systems

Medical & Industrial

Medical modules Industrial control systems

Communication & Computing

Telecom equipment Server power modules

Automotive

On-Board Charger (OBC) DC-DC converter

Renewable Energy

Solar inverter Wind power converter

Superworld High-Frequency Transformer

Design-to-Production Solutions
Vertical Integration
Complete in-house production — from ferrite to winding and testing ensures quality, speed, and cost efficiency.

ANSYS Simulation & Custom Design Capability

High Efficiency & Low Power Loss

Optimized PQ / EP / EFD cores reduce path and copper loss.
Controlled flux density improves conversion by
5–10% & lowers heat up to 15 °C.

Safety & Reliability

TIW insulation withstands 6000 VAC, compliant

IEC / UL / AEC-Q200. UL94-V0 flame rating.

Certified for automotive & medical use.

Low EMI & Acoustic Noise

Copper foil and common-mode choke suppress EMI.
Soft epoxy bonding reduces vibration and acoustic noise.

Proven Quality & Global Trust

Certified
ISO 9001 / IATF 16949 / ISO 14001 / ISO 45001 / ISO 50001 /QC080000

RoHS / Halogen-Free compliant.
Trusted by leading OEMs across Asia, Europe, and America.

EFDB5HSF-10321

Description
  • Low-profile EFD15 transformer for compact SMPS.
  • Provides efficient high-frequency isolation.
Form Factor
  • Dimensions: 16.50 (L) × 21.00 (W) × 5.90(H) mm
  • Mounting: SMD
Schematic
  • Bobbin: LCP
  • Core: EFD15
  • Wire: Polyurethane DD (1UEW)
  • Tape: Polyester Tape
  • Varnish: Ripley 468-2FC
  • Adhesive : Epoxy
Electrical Performance
  • Terminal Style: 10-Pin (primary: 1-3, secondary: 2-1 and 5-4, aux: 6-10)
  • Inductance Range (µH): 21 ~ 32 @ 10KHz 0.1V
  • DCR (mΩ): 66 Max (primary), 84 Max (secondary)
Environmental Conditions
  • Temperature Range : -40°C to +125°C
  • High Reliability : Magnetically shielded, and ideal for high-density layouts
More designs & Customization are also available

SPQC0VTF-50115

Description
  • PQ20 transformer for resonant and push-pull designs.
  • High power density with low leakage and wide voltage range.
Form Factor
  • Dimensions: 23.80 (L) × 23.80(W) × 21.00(H) mm
  • Mounting: Through-Hole
Schematic
  • Bobbin: Phenolic
  • Core: PQ20
  • Wire: Polyurethane DD (UEW)
  • Tape: Polyester Film
  • Varnish: Synthite AC-43
  • Wire: Triple Insulation Wire TEX-E
Electrical Performance
  • Terminal Style: : 14-Pin : Primary: 1-2 to 3-4, : Secondary:7-8-9 to 12-13-14,: aux: 5-6
  • Inductance Range (µH): 30 000 @ 300KHz 0.1V
  • DCR (mΩ): 6.4 Max (primary), 26 Max (secondary), 152 Max (aux)
Environmental Conditions
  • Temperature Range : -25°C to +105°C
  • High Reliability : High-efficiency ferrite core, vibration resistant via varnish impregnation, RoHS compliant
More designs & Customization are also available

SRMA4VTF-50772

Description
  • RM4 transformer for half-bridge and full-bridge circuits.
  • Robust isolation with stable performance for embedded systems.
Form Factor
  • Dimensions: 4.00 (L) x 13.50 (W) x 11.00 (H) mm
  • Mounting: Through-Hole
Schematic
  • Bobbin: phenolic resin (bakelite) pm-9630 94v-0
  • Core: rm4
  • Wire: polyurethane dd (1uew)
  • Tape: polyester film
  • Varnish: synthite ac-43
  • Clip: rm4
Electrical Performance
  • Terminal Style: : 6-Pin (primary: 2-3, secondary: 5-6 based on schematic)
  • Inductance Range (µH): 5000 ±10% @ 50KHz 0.1V
  • DCR (mΩ): 2-3 = 6-5 (460 ±10%)
Environmental Conditions
  • Temperature Range : -25°C to +105°C
  • High Reliability : Clip-secured core for mechanical integrity, thermal Class B insulation, RoHS compliant
More designs & Customization are also available

SEPA7HSF-50370

Description
  • Compact EP7 THT, 26 µH @100 kHz, tight DCR.
  • Class B 130 °C, −25–+105 °C—ideal for auxiliary flyback/isolated bias.
Form Factor
  • Dimensions: 10.82 (L) x 13.46 (W) x 8.71 (H) mm
  • Mounting: SMD
Schematic
  • Bobbin: Phenolic
  • Wire: Polyurethane DD (2UEW)
  • Tape: Polyester Film
  • Varnish : AV119
Electrical Performance
  • Terminal Style: : 6-Pin
  • Inductance Range (µH): 26.0 ±5% (6-4 primary) @ 100 kHz 1 V
  • DCR (mΩ): 90 Max (6-4),50 Max (3-1)
Environmental Conditions
  • Temperature Range : -25°C to +105°C
  • High Reliability : Insulation Class B (130 °C); Suitable for shielding applications.
More designs & Customization are also available

Follow : # Superworld Electronics
Website : www.superworld.com.sg
Contact Us : sales@superworld.com.sg

© Superworld Electronics (S) Pte Ltd | Updated : 6 JAN 2026